设为首页 | 加入收藏

亚星游戏登录正网官方网站!

P

产品分类
RODUCT CLASSIFICATION

更多>>
联系方式
/ CONTACT

手机:13823228934

电话:0755-23192524

QQ:836024111

[email protected]

当前位置:首页 > 产品展示 > PARKER派克液压油泵 > 产品详情
产品展示
P315,P330,P350,P365齿轮泵

P315,P330,P350,P365齿轮泵

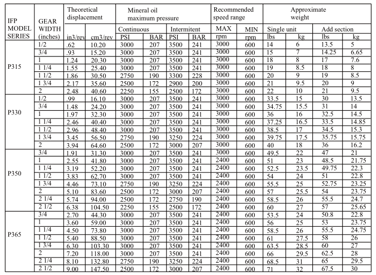
        P315 P330 P350 P365系列衬套泵和马达有7-9种不同的齿轮尺寸,并带有各种安装法兰,轴配置和端口选择。也提供多节单元,背负式设计和固定式组件。这些泵具有球墨铸铁外壳,可为最苛刻的应用提供高达3500 psi的额定压力。
该DYNACO P315 P330 P350 P365系列是从其他齿轮泵产品的完美替代品的商业InterTech的,帕克,  曼西,METARIS,GPM 等。 

产品特点:
适用于多种应用
提供多种排量和选件
重型套筒衬套设计
压力平衡耐磨板
多种轴承座选项
多种安装法兰和轴选件
专为高效输出而设计
坚固耐用的铸铁结构
提供7-9种不同的齿轮尺寸
压力高达3500 psi
速度高达3000 rpm
多种移植选项
高强度钢齿轮和轴组
与商用Intertech,Parker,Muncie和Metaris齿轮泵互换.

亚星游戏登录正网

客服电话
  • 手机:138-2322-8934
  • 座机:0755-23192524